書單:
卡片盒筆記:最高效思考筆記術,德國教授超強秘技,促進寫作、學習與思考,使你洞見源源不斷,成為專家
Super Output!黃金輸出術:將輸入的資訊轉為「金錢」的輸出術!
近年來養成了閱讀的習慣,但我只是讀,雖然偶爾會用紙本筆記,但我基本上就是以大量輸入為目標,我的理想是透過閱讀慢慢滋養自己腦中的知識、概念,讓自己成為一個所謂「有常識的人」。非虛構的書籍(例如:歷史、政治、心理學、人類學、社會學、哲學、財商、成功學)是我近年來的閱讀類型,小時候只愛讀文學,但我近期則是大幅降低了虛構類書籍的攝取。
隨著閱讀的書籍越來越多,我感覺腦子累積了一堆「知識」,像是身體一直吸收卻沒有排泄的狀態,不是很舒適,因此開始感受到「輸出」的需求。
前幾天聽馬克的新節目——聲藝上門,訪問閱讀前哨站的瓦基,節目中提到將吸收的知識「輸出」的概念,於是我立即購買了在網路上評價頗高的《卡片盒筆記》和《黃金輸出術》來閱讀,前者我是購買電子書,後者則是我近期唯一購買的實體書籍(如果有出版電子書通常都是購買或借閱電子書,因為收納空間的關係,我近期幾乎不購買實體書),可見我對「輸出」產生多大的動力。
《卡片盒筆記》的概念是在閱讀時透過「轉譯」的功夫,以濃縮的形式忠實記述文本中的主要觀點,並補充自己針對此觀點的批判思考,而非單純地蒐集引文。
所謂「轉譯」就是用自己的話語來詮釋文本的觀點(非字字句句照抄),因為唯有用自己的話來闡釋,才能確保自己確實理解這文句的意義。
我以往閱讀時並不習慣拿著筆和筆記本/紙張來記錄,通常都會貼標籤,待之後有空時再一次將內容抄寫到筆記本,但經常是——筆記跟不上讀書的速度。如何筆記便成為我欲「輸出」時的第一個關卡,因此我首先選擇閱讀《卡片盒筆記》來解決我的困難,而我也在閱讀這本書時運用書中所述的方法來筆記。
關於筆記,我以往的做法是有空時將先前貼標籤的頁面文句,一字不漏地抄寫到筆記本,雖然很有成就感(一整本滿滿的都是我的手寫筆記),但老實說我幾乎沒有再將筆記的內容運用到其他地方,也幾乎不會再找時間來複習裡頭的內容。下很多功夫筆記,但這筆記卻無用武之處(因為不方便使用,也不會想去找來讀),十分可惜。
《卡片盒筆記》的觀點是,閱讀時拿著筆用簡短的方式把認為有用的內容記錄下來,是最有效的記憶方式。手寫,透過肢體的參與讓記憶更深刻,手寫的限制(要一字不漏地抄寫太費神)也十分有助於轉譯。而透過這方式記錄的內容並不會束之高閣,而能確實成為往後輸出時的資源。
光是筆記的記錄方式並非卡片盒筆記的特色,它的特點是「闡釋」、「理解」、「連接」,闡釋與理解就是轉譯的過程,而連接是卡片盒筆記的靈魂。
首先卡片盒筆記會將筆記做三大分類,「靈感筆記」「閱讀筆記」「永久筆記」,就像三個卡片盒。
- 靈感筆記是在閱讀時或平日突然靈光乍現時記錄的筆記。
- 閱讀筆記是在閱讀時用轉譯的方式記錄的筆記(要附上書目資料,以便往後好搜尋)。
- 永久筆記則是將靈感筆記與閱讀筆記揉合自我見地之後的內容(即是後續輸出時的來源),而靈感筆記在揉合至永久筆記後即可拋棄。
還有一要點是,一則筆記只記錄一個想法,這樣有益於筆記的分類、增加筆記間的連結、便於往後的運用。
那麼要如何篩選筆記的內容?卡片盒筆記的篩選模式是採取開放的態度,不預設立場要記述何種類型的內容,但經過大量閱讀後,會自然而然發現自己記錄的內容彼此之間會產生「關聯」,筆記之間會有互動性,會看出某種或某些興趣取向,而後便能透過這關聯性來進行「輸出」。我們做筆記的目的即是為了未來的輸出。
閱讀卻不做筆記才是真正浪費時間,但筆記要簡要記述文本的主要觀點,並帶有批判思考,而非蒐集引文。
卡片盒筆記,11.聰明的卡片盒筆記
「筆記要如何使用」比檔案管理更重要。
卡片盒筆記,12.發展想法
若能對於達成目標的手段、任務項目有具體且務實的想法,將大大有益於結果的產出。
卡片盒筆記,13.分享見解
如果以輸出為前提進行輸入,那麼輸入的型態、資訊量也會有偌大的改變。
黃金輸出術,序
將輸入的資訊、知識內化後轉化為有形之物,比起一味學習來得重要。
黃金輸出術,序
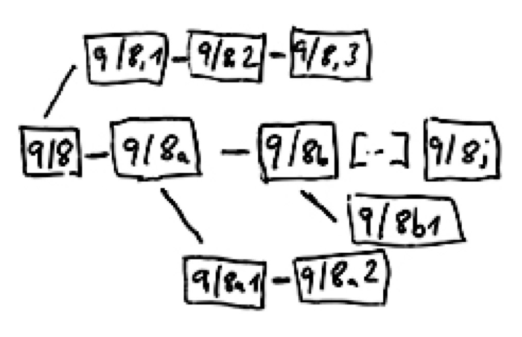
原始的卡片盒筆記做法是用一張一張的紙本卡片記錄後並編碼,後來的筆記若與先前的筆記相關聯,則將後來的筆記卡片放在該相關筆記卡片的後面,並依先前的編碼往後編碼。以卡片盒筆記發明人魯曼的方式舉例:
有17則筆記,第一則編號是9/8,接著分支成兩群,第一分支為9/8a-9/8j,第二分支為9/8,1 – 9/8,3。而9/8a又有與其相關的筆記編號為9/8a1、9/8a2。9/8b亦有與其相關的筆記9/8b1、9/8b2。原始的筆記就會是像下圖這樣。

如果用圖形表示就會是下圖這樣:

這樣的筆記間的關聯即是卡片盒筆記的厲害之處,它每一則筆記皆會與卡片盒中其他的筆記相關,而在一次一次輸入筆記時,因為會去回顧是否與已存在的筆記有關,亦達到了複習筆記的效果。
魯曼更傑出之處在於他放入卡片盒的筆記皆是已接近完稿狀態的文句(永久筆記),所以當他需要輸出為正式作品時,只要將相關的筆記排列整理並再順過內容即可完稿,這也是魯曼高生產力的秘密。
看了上述的紙本編碼方式是否覺得十分複雜且不是很便利?所以作者建議現代人若要運用卡片盒筆記,應該採用數位化工具勝於紙本,因為數位化工具能輕易達成筆記與筆記間的連接,可模擬人腦神經網絡傳遞訊息的邏輯。書中提及許多以卡片盒筆記為概念發展的數位化筆記工具,像是Hepta、Notion、Obsidian、Roamresearch、Logseq、RemNote、Amplenote、Bearnotes、Evernote、Zettlr。
我目前正在試用Obsidian,我會邊閱讀邊記錄筆記,隨後再將紙本筆記輸入至Obsidian(紙本並不會留存)。Obsidian的軟體介紹可參考這個影片PAPAYA 電腦教室 Obsidian 教學。
當學習的環境建構完備,便能專注於思考重要的事情。好的筆記方法讓我終於能更專注於學習新知,不用擔心讀完一本書之後卻說不出這本書的觀點。另外,我想不論使用的是何種軟體,甚至只是Excel,最重要的還是要持之以恆,才能呈現出卡片盒筆記的效果。
掌握了筆記的方法之後,我想學習輸出的方法。雖然筆記也是輸出,但仍停留在私人領域(自言自語),若能以完整文章的形式揭露於公開領域(與他人對話),便能透過他人的回饋(按讚、留言等)來精進自己輸出的質量,且公開輸出亦能加深自己對該知識的理解。
《黃金輸出術》作者認為現代人獲取資訊的來源繁多,基本上眾人皆已是輸入過剩的狀態,應該要學習輸出,甚至要「公開地輸出」,才能將輸出變為「黃金」。
輸出需要有動力和欲執行的決心,如果只是不停輸入,久而久之會因資訊過量不知從何開始輸出。有在執行輸出的人少之又少,只要開始輸出,不論輸出的品質好壞,皆已脫穎而出。
黃金輸出術,一、輸出時代來臨
如果輸出之後不將內容公開,那就等於沒有輸出。
黃金輸出術,二、書寫輸出最為輕鬆
書寫、講話、繪圖、雕刻、攝影等等皆是輸出的型態,而其中較為簡單的便是「書寫」,我們從小到大已經接受足夠多的紙筆訓練,因此書寫照理來說是最輕易的輸出方式。
當然寫作能力有高低,但試著去做比什麼都不做好,0與1的距離遠遠大於1與100的距離。
《黃金輸出術》第二章節「書寫輸出最為輕鬆」教導了介紹文是很棒且容易入門的輸出型態,我也是因為讀了這段之後才有動力將這兩本書的閱讀心得書寫出來。
假設要介紹的是一本書,以8段為架構,每段以100字為基本門檻。分段內容如下:
- 第一段:介紹對該本書的印象(希望讀者對於該本書抱持何種觀點)
- 第二段:這本書適合推薦給何種類型的人(具體、明確)
- 第三段:介紹書中有趣之處、作者簡介
- 第四段:用以補充第三段的內容
- 第五段:引用該書代表性的文句內容
- 第六段:引用另一段文句,強化讀者認知
- 第七段:仔細介紹作者
- 第八段:說明為何介紹這本書,提升讀者閱讀的動機
雖然我是以這架構為動機書寫,但開始寫之後發現其實我很能自由發揮,於是就沒有按照上述的段落進行,但我想該提到的都有提到了。
《黃金輸出術》作者建議應該同時閱讀大量不同領域的書籍,這樣的輸入能在往後產生未知的化學作用,激發輸出的內容。像是理髮師和各種不同的顧客聊天,他便能掌握並內化那社區的近況、最近流行的趨勢等,順手拈來就是各種聊天話題,且像是為該位顧客量身打造的話題。
我也有同時閱讀不同書籍的習慣,但不見得都是不同領域,像是最近手邊正在讀的書是:
- 歷史類:品人錄、魏晉南北朝貨幣史論、西周史、李國鼎:我的台灣經驗、毛澤東和後毛澤東時代
- 報導文學類:罪行海洋
雖然很明顯一面倒偏向歷史類,但基本上是不同時期的歷史,所以我想應該也能形成不同刺激。專門的書評家會介紹近幾個月出版的書籍來衝高新書銷售量,但我還是喜歡以自己有興趣閱讀的書籍為對象,這才會是我的動力源。
《黃金輸出術》作者所謂能將輸出轉為金錢,便是透過自己的介紹文章吸引他人去購買商品,於是能產生金錢的回饋,這即是現在網路上許多書評家在做的事情。這當然很棒,輸出的品質優異才能產生這樣的效果,而我自知沒有這樣的能力,我要的僅是記錄自己所學,避免這些好不容易進入腦中的資訊卻淹沒在腦海裡。
或許永遠等不上派上用場那天,也沒有賺錢的機會,但做起來喜歡、開心,覺得有趣,那就可以持續進行輸入、輸出,這樣的動機才是持久的關鍵。
黃金輸出術,六、將輸出高級化的對話術
或許輸出的內容永遠派不上用場,但做起來開心,何樂不為?就像我最近開始畫圖一樣,畫得不好,但畫得開心就好。
這兩本書是我學習輸出的起點,這篇心得文便是我輸出的第一步!
推薦給想要學習輸出的你。
後記:難以克服的高牆
我自己用Obsidian直行卡片盒筆記,但輸出速度真比不上輸入的,感謝你分享的【黃金輸出】這本書呀!
讚讚
要提升輸出的速度真的頗有難度,每次輸入時總是期待在未來的某一日可以開花結果。
我是讀完這兩本書之後才決定輸出的,很開心因為這篇文章有機會和你交流~
讚Liked by 1 person